Pentetic Acid

Pentetic acid is an edetate and a chelating agent used in preparing radiopharmaceuticals.
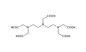
Pentetic acid. Pentetic acid or diethylenetriaminepentaacetic acid dtpa is an aminopolycarboxylic acid consisting of a diethylenetriamine backbone with five carboxymethyl groups. Diethylenetriaminepentaacetic acid dtpa acidum penteticum detapac detarex. Handbook on the toxicology of metals fourth edition 2015. The molecule can be viewed as an expanded version of edta and is used similarly.
Used in preparing radiopharmaceuticals. Pentetic acid diethylenetriaminepentaacetic acid dtpa is another synthetic polyaminopolycarboxylic acid with properties similar to those of edta which also forms stable chelates with calcium. It is a white solid with limited solubility in water. Pen te tik diethylenetriamine pentaacetic acid dtpa.
Pentetic acid dtpa has strong affinity for iron but also shows affinities for other heavy metals thereby is used in the treatment of iron storage disease and poisoning from heavy and radioactive metals dtpa may chelate metallic moieties of unbound extracellular radioimmunotherapeutics thereby. 393 35 pentetic acid is an aminopolycarboxylic acid that is used similar to edta sequestering metal ions. Multiple dose 10 ml glass vial contains a non radioactive white lyophilized powder with 20 mg of pentetic acid 5 mg of p aminobenzoic acid 3 73 mg of calcium chloride dihydrate and not less than 0 25 mg stannous chloride dihydrate and not more than 0 385 mg maximum tin expressed as stannous chloride dihydrate. For research use only.